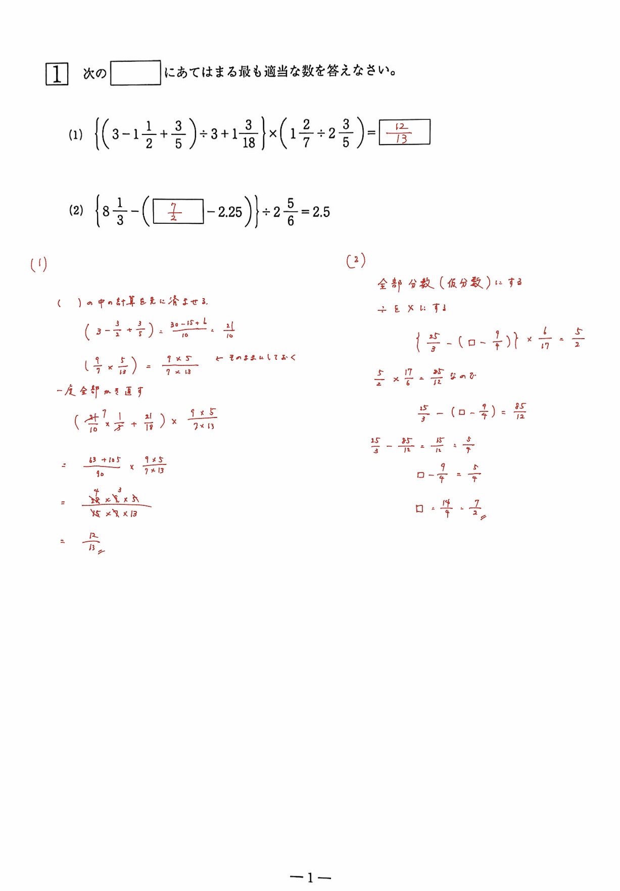
東邦大東邦中学 2026年推薦入試 12月 19,2025 Leave a comment 今年も推薦入試の合格者が1人出ました。とはいえ、やはり推薦入試は人気が高く、十分な偏差値があっても不合格だったりと、難しいですね。 特に理科は難しく、差がつきやすかったようです。 推薦で不合格だった生徒も前期・後期に向けて頑張ってください。 2026年推薦の算数の問題と解答を載せておきます(未完成)。 (Visited 162 times, 1 visits today)